پست جدید – منبع #57

ahmad1358 اطلاعیه ها

 

دانلود فتوکل و نتایج 17 بازی یاس نود شماره (685)

 

هدایای پرداختی
(جمع فروش)
(486028007) تعداد.مشارکت (73228)

 

تعداد بازیهای انجام شده : 00 بازی

جهت دریافت لیست پی دی اف از امکانات آلبوم دیجیتال استفاده نمایید.

تعدادبرگه.های.بی.خطا

0000

مبلغ.هدیه نفرات.اول

000000
تعدادبرگه های یک خطا

0000

مبلغ.هدیه.نفرات.دوم

000000

 

ردیف میزبان آنالیز و نتایج میهمان روز ساعت نام لیگ
1 الاوز 2.96 3.00 2.52 سوسیه داد چهارشنبه 23:30 حذفی اسپانیا
2 والنسیا 2.78 3.02 2.66 بیلبائو چهارشنبه 23:30 حذفی اسپانیا
3 ابردین 6.02 4.46 1.46 سلتیک چهارشنبه 23:30 اسکاتلند
4 دندیFC 3.76 3.34 1.97 مادرول چهارشنبه 23:15 اسکاتلند
5 هیبرنیان 1.59 3.90 5.25 دندی یونایتد چهارشنبه 23:15 اسکاتلند
6 لیونگ ستون 3.31 3.35 2.12 فالکریک چهارشنبه 23:15 اسکاتلند
7 گلاسکورنجرز 1.29 5.26 9.32 کیلمارناک چهارشنبه 23:15 اسکاتلند
8 منچسترسیتی 1.79 3.93 4.06 نیوکاسل چهارشنبه 23:30 EFL CUP
9 ترویز 5.26 4.30 1.53 لانس چهارشنبه 23:30 حذفی فرانسه
10 اینتر 1.30 5.23 9.69 تورینو چهارشنبه 23:30 حذفی ایتالیا
11 کیل 5.81 4.44 1.49 اشتوتگارت چهارشنبه 23:15 حذفی آلمان
12 شارلوا 3.61 3.16 2.02 سن ژیل چهارشنبه 22:45 حذفی بلژیک
13 لورینت 2.23 3.25 3.16 پاریس FC چهارشنبه 23:00 حذفی فرانسه
14 لیون 1.22 5.62 12.89 لاوال چهارشنبه 23:00 حذفی فرانسه
15 نیس 1.67 3.96 4.47 مونت پولیه چهارشنبه 23:00 حذفی فرانسه
16 تولوز 1.27 5.59 9.23 امینس چهارشنبه 23:00 حذفی فرانسه
17 فافه 2.92 3.02 2.41 تورینسه چهارشنبه 23:45 حذفی پرتغال

 

دانلود فتوکل دیجیتال(نمایندگان)

لینک کمکی

xml

لیست.برگشتی

شاید دوست داشته باشید:

پست جدید – منبع #60

بازیهای 15 بازی دوره 98

هدایای پرداختی : 0000 تعداد مشارکت : 00

بازیهای انجام شده : 0

نفرات اول : 0

هدایای پرداختی : 0

نفرات دوم : 0

هدایای پرداختی : 0

میزبان میهمان روز ساعت لیگ
1 منچسترسیتی 1.77 3.93 4.02 نیوکاسل چهارشنبه 23:30 کاپ.انگلیس
2 اینتر 1.29 5.51 10.24 تورینو چهارشنبه 23:30 حذفی.ایتالیا
3 والنسیا 2.63 3.04 2.76 بیلبائو چهارشنبه 23:30 حذفی.اسپانیا
4 آلاوز 2.92 3.03 2.52 سوسیه.داد چهارشنبه 23:30 حذفی.اسپانیا
5 هولشتاین 5.63 4.42 1.49 اشتوتگارت چهارشنبه 23:15 حذفی.آلمان
6 شارلوآ 3.54 3.14 2.05 سن ژیل چهارشنبه 23:00 حذفی.بلژیک
7 هیبرنین 1.55 3.89 5.31 داندی.یونایتد چهارشنبه 23:15 اسکاتلند
8 FC دوندی 4.01 3.43 1.84 موتزویل چهارشنبه 23:15 اسکاتلند
9 سنت گالن 3.11 3.56 1.90 بازل چهارشنبه 22:45 حذفی.سوئیس
10 پالمیراس 1.33 4.73 8.46 ویتوریا پنج شنبه 04:00 1 برزیل
11 گرمیو 2.16 3.18 3.34 بوتافوگوRJ پنج شنبه 04:00 1 برزیل
12 رمو 2.86 3.18 2.48 میراسول پنج شنبه 02:30 1 برزیل
13 براگانتینو 2.18 3.28 3.16 ات مینیرو پنج شنبه 01:30 1 برزیل
14 سانتوز 2.15 3.21 3.41 سائوپائولو پنج شنبه 02:30 1 برزیل
15 فلامینگو 1.42 4.45 7.18 اینتر پنج شنبه 01:30 1 برزیل

پست جدید – منبع #59

قابل توجه نمایندگان عزیز
!

آخرین مهلت ارسال فایل  دوره  4   تا ساعت

45:21   روز  چهارشنبه  15  بهمن  1404 می باشد.

با سپاس فراوان از همکاری شما


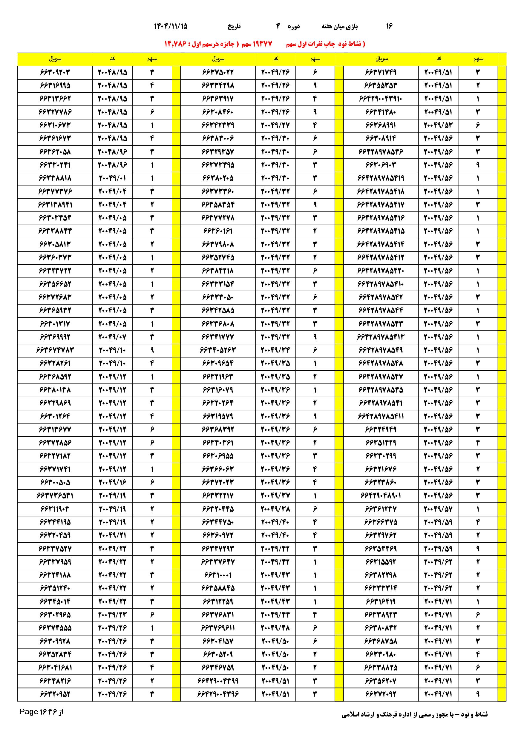
آلبوم دیجیتال مسابقه  4

تعداد کل شرکت کنندگان

16330

جمع کل فروش

493.975.718

لینک دانلود آلبوم دیجیتال مسابقه

لینک xml

لیست برگشتی

جهت دریافت لیست پی دی اف از امکانات آلبوم
دیجیتال استفاده نمایید.


تعداد بازیهای انجام شده:  14   بازی
تعداد فرم
های بی خطا:
  5095    فرم

تعداد 19377  سهم

هدیه تقدیمی به
هر سهم :
   14.786

لیست برندگان

ص1 ص2 ص3 ص4 ص5 ص6 ص7 ص8 ص9 ص10

ص11 ص12 ص13 ص14 ص15 ص16 ص17 ص18

ص19 ص20 ص21 ص22 ص23 ص24 ص25 ص26

ص27 ص28 ص29 ص30 ص31 ص32 ص33 ص34 ص35 ص36 

 

میزبان

آنالیز بازیها

میهمان

روز

ساعت

لیگ

1

منچسترسیتی

3
1

نیوکاسل

چهارشنبه

23:30

اتحادیه انگلیس

2

اینتر

2
1

تورینو

چهارشنبه

23:30

حذفی ایتالیا

3

والنسیا

1
2

بیلبائو

چهارشنبه

23:30

حذفی اسپانیا

4

آلاوز

2
3

سوسیه داد

چهارشنبه

23:30

حذفی اسپانیا

5

هولشتاین

0
3

اشتوتگارت

چهارشنبه

23:15

حذفی آلمان

6

لورینت

2
0

پاریس FC

چهارشنبه

22:45

حذفی فرانسه

7

لیون

2
0

لاوال

چهارشنبه

23:00

حذفی فرانسه

8

تولوز

1
0

آمینس

چهارشنبه

23:00

حذفی فرانسه

9

ترویز

2
4

لانس

چهارشنبه

23:00

حذفی فرانسه

10

نیس

3
2

مونت پلیه

چهارشنبه

23:00

حذفی فرانسه

11

شارلوا

0
0

سنت گیلویس

چهارشنبه

23:00

حذفی بلژیک

12

هیبرنیان

3
2

دوندی یونایتد

چهارشنبه

23:15

برتر اسکاتلند

13

لیوینگستون

1
2

فالکرک

چهارشنبه

23:15

برتر اسکاتلند

14

دوندی FC

سهم بندی شد

مادرول

چهارشنبه

23:15

برتر اسکاتلند

15

آبردین

سهم بندی شد

سلتیک

چهارشنبه

23:30

برتر اسکاتلند

16

رنجرز

5
1

کیلمارنوک

چهارشنبه

23:15

برتر اسکاتلند

 

پست جدید – منبع #58

دانلود فتوکل و نتایج 20 بازی یاس نود شماره (585)

هدایای پرداختی
(جمع فروش)
(512586567) تعداد.مشارکت (82527)

تعداد بازیهای انجام شده : 00 بازی
جهت دریافت لیست پی دی اف از امکانات آلبوم دیجیتال استفاده نمایید.

تعدادبرگه.های.بی.خطا 000 مبلغ.هدیه نفرات.اول 000000
تعدادبرگه های یک خطا 000 مبلغ.هدیه.نفرات.دوم 000000

ردیف میزبان آنالیز و نتایج میهمان روز ساعت نام لیگ
1 اینتر تورینو چهارشنبه 23:30 حذفی ایتالیا
2 هولشتاین کیل اشتوتگارت چهارشنبه 23:15 حذفی آلمان
3 پاناتینایکوس پائوک چهارشنبه 22:00 کاپ یونان
4 والنسیا بیلبائو چهارشنبه 23:30 حذفی اسپانیا
5 آلاوز سوسیه داد چهارشنبه 23:30 حذفی اسپانیا
6 شارلوآ سن ژیل چهارشنبه 23:00 حذفی بلژیک
7 نایمخن ولندام چهارشنبه 21:15 حذفی هلند
8 آیندهوون هیرنفین چهارشنبه 23:30 حذفی هلند
9 آستراس تریپولی المپیاکوس چهارشنبه 20:00 برتر یونان
10 جاگلونیا کاتوویک چهارشنبه 23:00 برتر لهستان
11 آراد کلوژ چهارشنبه 19:15 1 رومانی
12 فارول دیناموبخارست چهارشنبه 22:00 1 رومانی
13 پافوس آپوئل چهارشنبه 20:30 برتر قبرس
14 هیبرنین داندی یونایتد چهارشنبه 23:15 برتر اسکاتلند
15 آبردین سلتیک چهارشنبه 23:30 برتر اسکاتلند
16 داندی مادرول چهارشنبه 23:15 برتر اسکاتلند
17 لیوینگستون فالکریک چهارشنبه 23:00 برتر اسکاتلند
18 نیس مونت پلیه چهارشنبه 23:00 حذفی فرانسه
19 لورینت پاریس چهارشنبه 23:00 حذفی فرانسه
20 منچسترسیتی نیوکاسل چهارشنبه 23:30 جام اتحادیه

دانلود فتوکل دیجیتال(نمایندگان)

لینک کمکی

xml

لیست.برگشتی